Математика на пальцах гифками

Математика (др.-греч.< др.-греч. изучение, наука) — наука о структурах, порядке и отношениях, исторически сложившаяся на основе операций подсчёта, измерения и описания формы объектов. Математические объекты создаются путём идеализации свойств реальных или других математических объектов и записи этих свойств на формальном языке. Математика не относится к естественным наукам, но широко используется в них как для точной формулировки их содержания, так и для получения новых результатов.
Математика — фундаментальная наука, предоставляющая (общие) языковые средства другим наукам; тем самым она выявляет их структурную взаимосвязь и способствует нахождению самых общих законов природы.
Анимационная математика это не сухие графики и цифры, в которых иногда невозможно разобраться. Это понятные, наглядные анимационные картинки основных законов математики. Вот посмотрел на гифку и многое, еще со школы, становится ясным. Смотреть интересно даже тем, кто ничего не понял ;)
Как нарисовать эллипс

Эллипс - замкнутая кривая на плоскости, которая может быть получена как пересечение плоскости и кругового цилиндра или как ортогональная проекция окружности на плоскость.
Как работает треугольник Паскаля

Треугольник Паскаля - на вершине и по бокам единицы, каждое число равно сумме чисел, расположенных над ним.
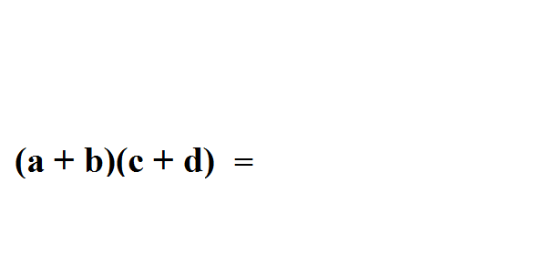
Как быстро перемножить двучлен

Бином или двучлен — частный случай полинома (многочлена), состоящего из двух слагаемых мономов (одночленов).
Как понять логарифмы

Что такое логарифмы?
Как не запутаться, проводя транспозицию матрицы

Проведение транспозиции матрицы.
Наглядно о том, что «пифагоровы штаны во все стороны равны»

наглядный пример правила «пифагоровы штаны во все стороны равны».
Почему сумма внешних углов многоугольника всегда равна 360 градусам

Наглядно о сумме внешних углов многоугольника.
Как на самом деле выглядит число "Пи"

Как на самом деле выглядит число "Пи"? Вот вам.
Если длина дуги окружности равна по длине ее радиусу, получившийся угол равен одному радиану

Если длина дуги окружности равна по длине ее радиусу, получившийся угол равен одному радиану.
Визуализация синуса (красным) и косинуса (синим) угла

Визуализация синуса (красным) и косинуса (синим) угла. Вот вам.
То же самое, но еще проще

То же самое и треугольники

И еще немного тригонометрии

Кривые тангенса

Кривые тангенса? Вот вам.
Если развернуть картинку, получается еще понятнее

Как перевести функцию из декартовой в полярную систему координат

Как перевести функцию из декартовой в полярную систему координат? Вот вам.
Как нарисовать параболу

Как нарисовать параболу? Вот вам.
Сумма Римана — примерная площадь под кривой

Сумма Римана — примерная площадь под кривой. Вот вам.
Как нарисовать гиперболу

Праивльный способ нарисовать гиперболу.
Если перевести это в 3D, получится гиперболоид

Схематические изображение гиперболоида. Это все — прямые линии, хоть и сложно в это поверить!
Вот как выглядит гиперболоид в реальной жизни

Как работает гиперболоид в реальной жизни!
Математические графики анимационно

Различные математические и физические графики.
- Уникальные анимационные работы Moran Goldstein (55+ штук)
- Анимация про уничтожение предметов (15+ штук)
- Анимация про женское тело и легкую эротику (50+ штук)
- Анимация как работает наше тело (10+ штук)
- Математика на пальцах гифками (20+ штук)
- Лучшая наглядная анимированная модель Вселенной (1 штука)
- Ужасные гифки для щекотания нервишек (100+ штук)
- Научные гифки или наука наглядно (40+ штук)
- Анимационные модели оружия (10+ штук)
- Гифки, которые объясняют мир лучше учебников (Тайна механизмов) (100+ штук)
- Огромнгая кооллекция позитивных гифок на форуме
Created/Updated: 25.05.2018
|