| Начало раздела Производственные, любительские Радиолюбительские Авиамодельные, ракетомодельные Полезные, занимательные | Хитрости мастеру Электроника Физика Технологии Изобретения | Тайны космоса Тайны Земли Тайны Океана Хитрости Карта раздела | |
| Использование материалов сайта разрешается при условии ссылки (для сайтов - гиперссылки) | |||
Навигация: => | На главную/Физика/ Открытия / |
|
РАСШИРЕНИЕ ВСЕЛЕННОЙ - ЛОКАЛЬНАЯ ФИЗИКА
(опыт построения современной физической картины мира)
![]()
В. М. Мясников
Санкт-Петербургский государственный электротехнический университет
им. В.И.Ульянова(Ленина) (ЛЭТИ)
ул. проф. Попова, дом 5, Санкт-Петербург, 197376, Россия
- Введение
- Кватеры. Кватерные пространства
- Пространство–масса. Закон всемирного тяготения.Модель материальной точки
- Вселенная. Динамика Вселенной. Гравитационный вакуум. Принцип Маха. Принцип относительности Ньютона
- Расширение Вселенной
В статье предложены и реализованы оригинальные идеи ("начала") построения кватерных пространств, пространства–массы, гравитации, ньютоновской физики. Построена модель и сформулированы законы расширения Вселенной. Предложена и частично реализована программа "Расширение Вселенной => локальная физика". | Miasnikov V.M. The article introduces and proves original ideas ("principia") of constructing quater–spaces, space–mass, gravitation, newtonian physics. A model is built and laws of Expanding the Universe are presented. A programm of "Expanding the Universe => local physics" is also introduced and partially realised. |
РАСШИРЕНИЕ ВСЕЛЕННОЙ ЛОКАЛЬНАЯ ФИЗИКА
Локальная физика, т.е совокупность физических законов, принципов, физических объектов и т.п. определяется законами расширения (эволюции) Вселенной.
Разумеется, мы далеки от мысли доказать это утверждение. Наша цель — показать, что это в принципе возможно, и даже наметить некий конкретный путь. Для этого формулируем законы расширения, вытекающие из нашей модели, в форме постулатов, именуемых далее постулатами расширения.
Постулат 1. Вселенная однородна и изотропна.
Постулат 2. (космологический постулат) Все локальные законы физики одинаковы в любую эпоху эволюции Вселенной и в любом месте Вселенной.
Постулат 3. В расширяющейся Вселенной существует предельная скорость движения одной материальной частицы относительно другой материальной частицы. Предельное значение скорости называем скоростью расширения Вселенной или, более привычно, скоростью света. Утверждение о том, что эта скорость не меняется с эволюцией, считаем следствием постулата 2. Заметим, что постулат 3 не утверждает, что вообще не существует скоростей, больших скорости света.
Постулат 4. Время, длина и масса расширяются

Здесь
— отрезки времени, длины и масса в
настоящий момент (эпоха
),
— соответствующие отрезки времени, длины и
масса в эпоху
,
H — постоянная Хаббла в настоящее
время (индекс «ноль» и черту для простоты
опускаем) и t — локальное время от
настоящего момента до момента,
соответствующего эпохе
.
Сформулируем, наконец, еще один постулат, который, вообще говоря, не следует из нашей модели, но представляется естественным и необходимым из самых общих философских соображений:
Постулат 5. (закон инерции расширяющейся Вселенной). Вселенная расширяется в соответствии с постулатом 4 (законами (3)), пока и поскольку некоторые причины не побуждают её отклоняться от этих законов. И если такие причины появляются, Вселенная стремится устранить эти причины, или, по крайней мере, свести их действие к минимуму.
Два необходимых замечания к постулату 5:
1. О термине «вселенная». Утверждение о том, что Вселенная расширяется, здесь означает, что расширяется любой объект или любая совокупность объектов, выделенная во Вселенной, в том числе и совокупность всех мыслимых объектов, которую обычно и называют сегодня термином «Вселенная».
2. Если Вселенная это любой объект или любая их совокупность, и никаких объектов, не принадлежащих Вселенной в принципе не существует, и если Вселенная расширяется в соответствии с постулатами 1 – 4, то откуда могут появиться причины, побуждающие Вселенную отклоняться от законов расширения? Мы полагаем, что взаимодействие объектов является причиной отклонения совокупности этих объектов от расширения, но не в смысле причинно–следственных отношений, а в том смысле, что взаимодействиеи отклонение от расширения — просто разные названия одного и того же феномена соответственно в локальной физике и модели расширяющейся Вселенной. И только следуя нашей схеме «расширение => локальная физика», мы рассматриваем расширение, точнее, отклонение от расширения, как первичное, и соответственно применяем закон инерции расширяющейся Вселенной.
Если бы Вселенная расширялась в строгом соответствии с постулатами 1 – 4, то во Вселенной в буквальном смысле ничего бы не было, во всяком случае того, что мы называем словом «физика», т.е. физических объектов, физических законов, и конечно тех, кто мог бы такие законы формулировать и изучать, т.е. нас с вами. Именно отклонение от расширения и порождает то фантастическое разнообразие физических объектов и явлений, которые мы наблюдаем и изучаем.
Как мы показали, космологическое красное смещение есть следствие эволюции Вселенной. Поскольку с эволюцией все расстояния растут, в том числе и расстояния до наблюдаемых галактик, что естественно интерпретировать как удаление от нас этих галактик, т.е. красное смещение можно интерпретировать и как эффект Доплера, в том числе и эффект Доплера как энергетический эффект. Кроме того, мы показали, что удаленные галактики находятся в состоянии свободного падения на гравитационную сферу Вселенной, т.е. космологическое красное смещение можно интерпретировать и как гравитационное. Таким образом, все известные современной науке причины красного смещения могут в равной степени объяснить космологическое красное смещение. Мы полагаем, что это не случайно, и причина на самом деле одна. А если вспомнить принцип Маха. тождественность инертной и гравитационной масс и др., то, по-видимому, имеет место общий принцип природы (или философии природы), некий предельный вариант «бритвы Оккама», который можно сформулировать примерно так: одинаковые явления природы должны иметь одно и то же объяснение (одну причину) (Уильям Оккам, 1289-1349 : “entia non sunt multiplicanda praeter necessitatem — сущности не следует умножать сверх необходимости”). Иначе говоря, Вселенная не может себе позволить «роскошь» иметь более одного экземпляра массы, несколько различных причин красного (фиолетового) смещения и т.п.
Последний принцип является философским, и мы, естественно, не включаем его в число постулатов расширения, однако этот принцип, наряду с постулатами, положен в основу всех дальнейших рассуждений.
Инерциальные системы.Предположим, что Вселенная расширяется в
строгом соответствии с постулатами 1 – 4 (отдавая
отчет, что это лишь крайняя идеализация).
Вселенная однородна и изотропна (постулат
1), следовательно, в качестве точки отсчета
можно выбрать любую. Для удобства речи
выберем Землю. Система отсчета, связанная с
Землей, по необходимости является
инерциальной (речь идет о Земле просто как о
точке в пространстве Вселенной, а не как о
вращающемся массивном теле ). Пусть далее мы
с Земли наблюдаем далекую галактику с
красным смещением Z(Z << 1). Свет, который мы регистрируем сегодня на
Земле, был испущен галактикой в момент
нашего земного времени, знак минус — т.к.
отсчет времени ведется в прошлое.
Подставляя tс учетом закона Хаббла
в (3), получаем
![]()
С другой стороны, единственный источник информации от галактики — электромагнитная волна, параметры которой

— частота, длина волны, энергия — величины, измеряемые сегодня на Земле (в спектре галактики), рассматриваем в системе отсчета Земли и сейчас.
Соответствующие величины
![]()
измеряемые и на Земле и
сейчас (в эталонном спектре), в соответствии
с постулатом 2 можно рассматривать в
системе отсчета галактики в момент земного
времени
.
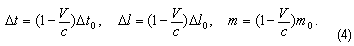
Непосредственное сравнение величин (5) и (6) в
точности дают соотношения (4) (именно в
результате такого сравнения и обнаружено
космологическое красное смещение), точнее,
первые два соотношения (4). Третье
соотношение (4) здесь вводится впервые, оно
не было известно в таком виде, т.к. не было
известно, что постоянная Планка
расширяется. (Если считать, что постоянная
Планка не расширяется, то соотношение для
энергии имеет прямо противоположный смысл.
Так это и считается на сегодняшний день и
известно под названием «старение» фотона.).
Для перехода в систему отсчета галактики не
обязательно «лететь» на эту галактику,
можно остаться на Земле, но обязательно «перенестись»
во времени в эпоху, соответствующую земному
времени
.
Сделаем первый предварительный
вывод: в той мере, в какой можно считать
Вселенную однородной и изотропной, далекие
галактики удаляются от нас со скоростью
,
имеют место соотношения (4), и переход в
систему отсчета, связанную с галактикой (необходимо
инерциальную) можно интерпретировать как
перенесение в прошлое на определенное для
данной скорости (данной галактики) время.
Представим теперь, что мы находимся в реальной неподвижной системе отсчета. Другая, подвижная система движется от нас по лучу зрения со скоростью V, и в этой системе имеется источник, свет от которого мы наблюдаем в неподвижной системе. Тогда имеет место доплеровское красное смещение, т.е. справедливы соотношения (для V<<c)

Сравнивая (7) и (4), видим, что два первых соотношения (4) совпадают с (7). Имея в виду, что красное смешение должно иметь одну и ту же причину («бритва Оккама»), полагаем, что совпадение должно быть полным. Таким образом, мы можем теперь определить условия, при которых подвижную систему отсчета можно считать инерциальной в реальных условиях и при этом указать некоторые свойства инерциальных систем (пока для случая удаления).
Систему отсчета, движущуюся с постоянной скоростью V от (неподвижной) точки отсчета по лучу зрения, можно считать инерциальной в некоторых физических условиях постольку, поскольку в этих условиях можно считать пространство однородным и изотропным. При этом имеют место соотношения (4) (для V<<c), т.е. в подвижной системе отсчета, по сравнению с неподвижной, длина (в направлении движения) сокращается, время ускоряется (секунда становится короче, т.е. сокращается) и масса уменьшается (сокращается). Переход от неподвижной системы отсчета в подвижную можно интерпретировать как перенесение (во времени) в прошлое на некоторое, зависящее от скорости, время.
Полученные выводы не совпадают с выводами специальной теории относительности Эйнштейна. Причина в следующем. Если рассматривать движения материальных частиц относительно неподвижной точки отсчета, то все движения разбиваются на три принципиально несводимые друг к другу вида: движение от точки отсчета (расстояние от точки отсчета увеличивается), движение к точке отсчета (расстояние уменьшается) и движение по сфере постоянного радиуса с центром в точке отсчета (расстояние не меняется). Выводы СТО, в общем правильные, относятся к разнымдвижениям, и три эффекта, сформулированные Эйнштейном, (сокраще-ние длины, замедление времени, увеличение массы) не имеютместа, все три одновременно в одном и том же движении.
Если же подвижная система отсчета приближается с постоянной скоростью к неподвижной точке отсчета, то переход в подвижную систему отсчета можно интерпретировать как переход во времени в будущее, при этом длина увеличивается, время замедляется, масса увеличивается.
Что касается третьего вида движения, движения по сфере постоянного радиуса с центром в точке отсчета, то мы полагаем, что такое движение не является физическим (относительно центра сферы), и никаких эффектов при таком движении не наблюдается. В частности, вывод Эйнштейна о т.н. боковом эффекте Доплера является ошибочным, такого эффекта нет. (Представляется разумным и, заново обсудить планетарную модель атома Резерфорда, постулаты Бора, стационарные орбиты электрона в атоме и т.п.)
Специальная теория относительности. Рассмотренные выше свойства инерциальных систем во Вселенной естественно («бритвa Оккама») приводят к формулировке локальной специальной теории относительности, отличной от СТО Эйнштейна. «Новая СТО» — не противопоставление (и уж тем более — не «опровержение» ! ) СТО Эйнштейна, но её дальнейшее развитие, её «новая редакция». «Новизна» состоит в новом определении системы отсчета и новом определении одновременности пространственно разделенных событий в таких системах отсчета.
Систему отсчета мы определяем как точку отсчета и окружающее пространство, все точки которого определяются относительно точки отсчета («рассматриваются исключительно из точки отсчета»). При этом выбор новой точки отсчета и/или иное определение точек системы относительно точки отсчета следует интерпретировать как переход к новой системе отсчета.
Качественное описание эффектов СТО (три вида равномерных движений в фиксированной системе отсчета, увеличение/уменьшение физических величин при таких движениях и некоторые другие) следует из свойств инерциальных систем в расширяющейся Вселенной (плюс «бритва Оккама»). Количественное описание требует дополнительных понятий. Одним из таких понятий является понятие одновременностипространственно разделенных событий.
В кватерном пространстве–времени
(см. выше раздел Кватеры. Кватерные пространства.)
два события
являются одновременными в данной системе
отсчета, если
,
или
,
где
,
а
—
длина радиальной составляющей вектора
.
Такое определение одновременности в
совокупности с наличием группы лоренц–инвариантных
преобразований в пространствах X,
однозначно приводит к специальной теории
относительности со всеми указанными выше
свойствами, в частности, при переходе в
систему отсчета, удаляющуюся от
неподвижной точки отсчета, длина
уменьшается, в приближающуюся — длина
увеличивается.
Мы утверждаем, что последнее, применительно к длине волны излучения движущегося источника света, известное как эффект Доплера — красное смещение спектральных линий для удаляющегося источника и фиолетовое смещение для приближающегося источника — показывает, что эффект Доплера является НЕПОСРЕДСТВЕННЫМ и ПРЯМЫМ экспериментальным подтверждением (или, если угодно, — следствием) специальной теории относительности.
Квантовый релятивизм.Постоянная Планка h расширяется с расширением Вселенной (см.
раздел Расширение Вселенной), причем весьма
быстро — пропорционально второй степени
коэффициента расширения. В начале эволюции
постоянная Планка равна нулю (точнее,
),
что указывает на то, что в начале эволюции
никаких ограничений «снизу» не было (мы
имеем в виду неравенства Гейзенберга , т.н. соотношениянеопределеностей), следовательно,
энергия могла поступать в нашу Вселенную (из
внешнего пространства Метавселенной ?!) в
виде излучения со сколь угодно малой
энергией и длиной волны в каждой точке про-странства.
Именно это излучение, расширенное за время
эволюции и разогретое до температуры 2.7°K ,
мы регистрируем сегодня как реликтовое.
Другой аспект расширения постоянной Планка может привести к совершенно неожиданным результатам в квантовой физике. Действительно, все свойства инерциальных систем в расширяющейся Вселенной переносятся в локальную специальную теорию относительности («бритва Оккама»), в том числе, по-видимому, и зависимость постоянной Планка от скорости. А это значит, что при переходе в подвижную систему отсчета постоянная Планка практически равна нулю в случае удаляющейся с релятивистской скоростью инерциальной системы, или её величина многократно возрастает по сравнению с табличной «величиной покоя» в случае при-ближающейся системы отсчета. Такой симбиоз теории относительности и расширения постоянной Планка, если эта гипотеза подтвердится, неизбежно приведет к новым идеям и возможностям, учитывая особенно, что столкновение частиц является одним из основных «инструментов» в изучении элементарных частиц.
Неинерциальные системы. Силы инерции. Закон Ньютона. Рассмотрим снова инерциальную систему, и пусть в этой системе некоторая частица движется с ускорением. Мы пока не будем обсуждать вопрос о том, что является причиной ускорения.
Как влияет ускорение на пространство? Частица и та причина, заставляющая её двигаться с ускорением, являются внешними по отношению к инерциальной системе, и следовательно, они не влияют на её пространство. т.е. не нарушают её инерциальность. (Речь идет о свободной частице. Иная ситуация возникла бы, если бы частица была связана в инерциальной системе. Если же причину ускорения рассматривать как «внутреннюю» для системы отсчета, то такую систему нельзя называть инерциальной).
Но в системе отсчета, связанной с
частицей (подвижной), ускорение приводит к
нарушению, по крайней мере, изотропности.
Действительно, обозначая
—
постоянную составляющую скорости, имеем
,
и подставляя эту скорость, например, во
второе соотношение (4)
![]()
видим, что при переходе в
подвижную систему отсчета пространство «деформируется»
по сравнению с «инерциальным фоном» (появляется
дополнительное слагаемое
к «инерциальному» слагаемому
)
в направлении приращения скорости, т.е.
ускорения.
Последнее мы и интерпретируем как отклонение от расширения. И тогда, в соответствии с постулатом 5, в подвижной системе отсчета появляется нечто, стремящееся устранить это отклонение и, очевидно, это нечто должно действовать в направлении противоположном ускорению.
Таким образом, если материальная
частица движется с ускорением
относительно любой инерциальной системы,
то в системе отсчета, связанной с этой
частицей, возникает нечто, называемое силой
инерции
.
Коэффициент m называют инертной массой частицы. Мы
интерпретируем массу m как меру взаимодействия частицы со всеми
объектами Вселенной.
Теперь мы в состоянии ответить и на вопрос, что является причиной ускорения частицы относительно инерциальной системы? А что, собственно, изменилось при постановке этого нового вопроса по сравнению с предыдущим? Имеем ту же частицу, то же взаимодействие этой частицы со Вселенной, характеризуемое той же массой m. Следовательно, и физическая величина, являющаяся причиной ускорения, должна быть и силой («бритва Оккама»), с той лишь разницей, что эта сила внешняя по отношению к частице. Иначе говоря, в инерциальной системе отсчета имеет место закон Ньютона
![]()
Гравитация. Мы хотим далее выяснить, каким должно быть взаимодействие между частицами, обладающими единственым свойством «иметь массу». При этом мы полагаем, что масса каждой частицы полностью определяется её взаимодействием с остальным веществом Вселенной.
При построении нашей модели
идеальной Вселенной одним из важнейших
условий были т.н. уравнения состояния
вещества и гравитационного вакуума,
которые в конечном счете сводятся к условию
,
или
![]()
где
—
кинетическая энергия вещества в
произвольном объеме V,
а
—
потенциальная энергия.
Условие (8) можно рассматривать как формулировку теоремы о вириале для идеальной Вселенной. (и по-видимому, следует добавить к постулатам расширения), и тогда условие идеального расширения формулируется как условие выполнения теоремы о вириале (8) в любом объеме, выделенном во Вселенной. Далее, применяя стандартную процедуру усреднения, теорему о вириале и условие идеального расширения (8) можно распространить на реальные тела с реальными кинетической и потенциальной энергиями.
Обращаем внимание, что кинетическая и потенциальная энергии в формулировке теоремы о вириале (8) не являются ньютоновскими, это релятивистские кинетическая энергия, включающая энергию «покоя» частиц, и потенциальная энергия, включающая «собственную» потенциальную энергию частиц во Вселенной. «Собственной» потенциальной энергией частицы массы m мы называем (отрицательную) энергию
,
где
—
гравитационный радиус массы m .
Собственную потенциальную энергию частицы
можно и интерпретировать как
потенциальную энергию взаимодействия
частицы со всем веществом Вселенной (её
гравитационной сферой)
,
где М — масса Вселенной, а R— гравитационный радиус Вселенной. И тогда масса материальной частицы может быть определена как
.
Именно в этом смысле мы утверждаем, что массу материальной частицы можно интерпретировать как меру взаимодействия частицы со всем веществом Вселенной, при этом мы полагаем, что нет необходимости делить такую интерпретацию массы на «подвиды» (инертную, гравитационную активную и пассивную, электромагнитную и т.п.).
Выделим во Вселенной конечный объем V, в котором имеется только две материальные частицы. Система из двух частиц расширяется идеально, если E + V =0, где E и V—кинетическая и потенциальная энергии системы двух частиц. Но частицы, составляющие систему, расширяются, их массы расширяются, следовательно, растет и их кинетическая энергия, а вместе с ней и кинетическая энергия системы E.С другой стороны, расстояние между частицами и расширяется, т.е. их потенциальная энергия уменьшается по абсолютной величине, при этом потенциальная энергия системы V, будучи отрицательной, растет.
Таким образом, в условии идеального расширения системы E + V =0, и первое, и второе слагаемые в левой части растут, что, естественно, влечет за собой нарушение этого условия. Мы это интерпретируем как отклонение от расширения. И тогда, в соответствии с постулатом 5, во Вселенной появляется нечто,стремящееся устранить или, по крайней мере, уменьшить отклонение от расширения, т.е. отклонения от нуля суммы кинетической и потенциальной энергий. Последнее возможно только при уменьшении расстояния между частицами.
Итак, Вселенная стремится уменьшить расстояние между материальными частицами, при этом нечто, стремящееся уменьшить расстояние между частицами или, что то же самое, увеличить по абсолютной величине потенциальную энергию, очевидно, должно действовать в направлении наибольшего увеличения модуля потенциальной энергии, т.е. в системе отсчета одной частицы
.
Это нечто, стремящееся уменьшить расстояние между материальными частицами, давно и хорошо известно и со времен И.Ньютона называется силой взаимного притяжения материальных тел.
Заметим, что рассмотрение гравитационного взаимодействия как стремления уменьшить расстояния между материальными частицами, можно интерпретировать и геометрически, т.е. как стремление изменить свойства пространства («искривить» пространство, изменить геометрию), что не только не исключает эйнштейновский подход к гравитации, но даже подчеркивает его естественность. И наконец, такая интерпретация гравитации естественно и непринужденно объясняет, почему гравитационно связанные объекты «не участвуют» в наблюдаемом космологическом расширении Вселенной: гравитационная связь и есть их участие в расширении Вселенной.
(С другой стороны, «не участие» гравитационно связанных материальных тел в наблюдаемом космологическом расширении, в свою очередь, можно интерпретировать как отклонение от расширения. И тогда Вселенная, в соответствии с постулатом 5, стремится увеличить расстояния между материальными телами. Последнее приводит («бритва Оккама»), в системе отсчета любого материального тела, к появлению сил отталкивания всех других материальных тел. Мы назвали эти силы хаббловскими (см. раздел Вселенная. Динамика Вселенной. ..). Там же мы отмечали, что наличие хаббловских сил отталкивания можно интерпретировать как существование отрицательного давления, которое, в свою очередь, можно интерпретировать как наличие «вещества» с отрицательной массой. Мы назвали это «вещество» гравитационнымвакуумом. Гравитационный вакуум отталкивается от обычного вещества, но «сам с собой» гравитационно не взаимодействует. Взаимодействие обычного вещества и гравитационного вакуума естественно приводит к силам инерции, которые являются лишь «слегка замаскированными» гравитационными силами, следовательно, отпадает необходимость различения инертной и гравитационной масс или, что то же самое, имеют место принцип эквивалентности Эйнштейна, принцип Маха, и т.п. )
О квантовой гравитации.Возможно, расширение Вселенной дает и
некоторые соображения в пользу квантовой
теории гравитации. Соображения эти
следующие. Допустим, что существует абсолютнонаименьшая , но не равная нулю порция
энергии или массы. Для определенности будем
говорить о массе. Обозначим её
.
Тогда известные соотношения для энергии
дают
![]()
Положим
,
т.е. возьмем, частоту, равную принципиальнонаименьшему в расширяющейся Вселенной
значению. Тогда
![]()
Таким образом, если абсолютно
наименьшая масса в принципе существует, то
она не может быть меньше
.
Назовем массу
«массино». Можно, по-видимому лишь
условно, говорить о частице с массой
.
(Некоторые авторы называют частицу массы
гравитоном, с нашей точки зрения —
неудачно).
Рассмотрим далее некоторую
частицу с массой
.
Масса расширяется в соответствии с
постулатом 4 (см. (3)), т.е.
,
или приращение массы за время t—
![]()
Если наименьшее приращение массы есть массино (9), то
,
откуда наименьшее приращение времени
,
где
— т.н. комптоновская длина волны частицы
.
А это уже наводит на определенные
соображения. Так расширение массы можно
интерпретировать как излучение квантов
гравитации с частотой
любой частицей, имеющей массу. А отсюда
возможно и соответствующее построение
теории гравитации. Из известных нам,
наиболее разработанной и наиболее близкой
к вышеизложенному в идейном плане является
теория гравитации К.П.Станюковича (К.П.Станюкович,
Гравитационное поле и элементарные частицы.
Атомиздат, 1965. См. и К.П.Станюкович, В.П.Гурович.
Эволюция материи и гравитационное поле (в
Метагалактике), в сб. «Философские проблемы
теории тяготения Эйнштейна и
релятивистская космология», «Наукова думка»,
Киев, 1966. В последней авторы указывают, что
впервые массу (9) вычислил из
гидродинамических соображений советский
астроном К.П.Савченко в 1949 г.).
Допущение о существовании
принципиально наименьшей массы «массино»
позволяет рассматривать комптоновскую
длину
и время
как принципиально наименьшие для частицы
массы m,
т.е. как принципиальную «разрешающую
способность взаимодействия», и по длине,
и по времени, частицы массы m с внешним миром.
Если это так, то
совершенно иначе следует посмотреть на
многие явления, такие, например, как
ионизация, фотоэффект и даже планковская
теория излучения и выросшая из неё проблема
квантования энергии («волна–частица»,
частицы с нулевой массой покоя, соотношения
неопределенностей Гейзенберга и др.).
Действительно, если длина волны
падающего на электрон света много больше
комптоновской длины волны электрона (т.е.
его разрешающая способность много выше), то
электрон ведет себя как заряженная частица
в переменном (по мере прохождения волны)
электромагниьном поле волны. Если же длина
волны света сравнима или меньше
разрешающей способности электрона, то
электрон «накапливает» энергию, которую
передает ему волна (или волны) за все время
и затем «мгновенно» реагирует на всю эту
энергию в соответствии с её количеством и
качеством. Мы же, объясняя явление
фотоэффекта, приписываем всю эту
накопленную электроном за время
порцию энергии как «мгновенно» переданную
ему волной, и тем самым вынуждены считать,
что эта порция энергии уже имелась у волны в
готовом виде, т.е. волна — это поток квантов
энергии.
Таким образом, дуализм «волна–частица» — это свойство не света (электромагнитной волны), но свойство системы «волна + электрон», причем электрон в этой системе не обязательно тот, на который волна падает (как в фотоэффекте), но это может быть и электрон, породивший эту волну. Электромагнитная волна, как таковая, сама по себе, — это абстракция, существующая только в наших теориях. Реальная электромагнитная волна — это всегда или «электрон + волна» (имеется в виду электрон, породивший волну), или «волна + электрон» (электрон, с которым волна будет взаимодействовать), и вопрос «волна или частица ?» относится, возможно, в бульшей степени к электрону, чем собственно к волне. Мы же до сих пор продолжаем с удивлением спрашивать: что же такое свет, волна или частица ?
Гравитация и теория Лесажа.Расширение Вселенной, интерпретируемое как расширение самого пространства Вселенной, т.е. повсеместное увеличение объема любого элемента пространства, требует ответа на вопрос «куда это дополнительное пространство девается?»
Понятно, что на границе (горизонте) Метагалактики расширение пространства приводит к «вытеканию пространства за горизонт», т.е. увеличению радиуса Вселенной, того, что мы, собственно, и называем расширением Вселенной. А локально?
Мы полагаем, что во «внутреннем» пространстве Вселенной» (локально) имеется, более или менее повсеместно, дискретное множество компактных особых областей («особых точек»), в которые и «утекает» дополнительное расширенное пространство с интенсивностью, пропорциональной «размеру» областей. Такие «особые точки» естественно отождествляются с материальными частицами, «размер» которых оценивается параметром, именуемым массой материальной частицы.
Таким образом, пространство,
расширяясь, «утекает» в «особые точки» —
материальные частицы, в число которых
входит и «бесконечно удаленная особая
точка r = R»
— сфера, совпадающая с горизонтом
Метагалактики, (подобно бесконечно
удаленной «точке»
на комплексной плоскости, которая может
быть особой, подробнее см. [6] ) с
соответствующей «интенсивностью»,
естественно увлекая за собой все, что
содержится в этом пространстве, в частности
— другие «особые точки» — материальные
частицы (обратите внимание — независимо
от массы этих материальных частиц —
факт, установленный еще Галилеем и
подтвержденный затем и ньютоновской
теорией и общей теорией относительности !).
Возможность описания такого «увлечения»
пробной материальной частицы «утекающим» в
особую точку пространством является одним
из достоинств кватерного пространства–массы
и приводит к закону тяготения (1) со всеми
вытекающими из него следствиями. (для
получения такого динамичного
расширяющегося пространства достаточно в
статичное пространство–масса некоторым
образом ввести время.. Теорию пространства–массы,
включая и «пространство–масса + время» мы
называем, за неимением лучшего названия, —«специальной
общей» теорией относительности. ).
Предлагаемая интерпретация тяготения перекликается с гипотезой Жоржа Луи Лесажа (1724–1803) о природе тяготения, согласно которой в пространстве Вселенной существует однородный и изотропный фон движущихся космических частиц, которые за счет взаимного экранирования тел от потока этих частиц в пространстве между телами «приталкивают» материальные тела друг к другу. Подобные идеи высказывались и до Лесажа Р.Декартом, Х.Гюйгенсом, М.Ломоносовым и др.
Гипотеза Ж.Лесажа имела серьезные противоречия наблюдениям, на которые указывали многие ученые (Лаплас, Пуанкаре и др.). Основные возражения сводились к тому, что для обеспечения наблюдаемой гравитации интенсивность потока фоновых частиц должна быть столь существенной, что под их ударами все тела должны быстро разогреваться. Земля, например, по расчетам Пуанкаре, должна светиться при этом ярче Солнца. Кроме того, фон должен оказывать сопротивление движению тел. Тормозимые планеты должны падать на Солнце, электроны — на ядра атомов и т.п.
Мы, со своей стороны, добавим еще один аргумент против гипотезы Лесажа. Допустим, что, например, Земля и Луна сжались до их гравитационных сфер. Диаметр Земли стал 9 миллиметров, Луны — в 81 раз меньше, т.е. примерно одну десятую миллиметра, массы же их остались прежними. Притяжение Луны к Земле и движение Луны под действием сил притяжения остались без изменения как с точки зрения ньютоновской теории, так и теории относительности. Что же касается гипотезы Лесажа, то можно ли серьезно говорить о взаимном экранировании для двух тел диаметром 9 миллиметров и одну десятую долю миллиметра соответственно, удаленных друг от друга на расстояние 384 тысячи километров?
Отмеченные противоречия привели к тому, что гипотеза Лесажа была отвергнута, однако до сих пор, с завидной настойчивостью, предлагаются все новые и новые модификации этой гипотезы, указывая тем самым, что в ней «что-то есть».
Упоминаемая выше гипотеза (теория тяготения) Станюковича формально и перекликается с гипотезой Лесажа, но принципиально отличается от неё тем, что потоки частиц (или гравитационных волн-частиц, К.П.Станюкович называет их релятивистскимгазом) излучаются самими материальнымителами равномерно во все стороны с интенсивностью, пропорциональной их массам. В пространстве между телами встречные потоки релятивистского газа взаимно ослабляются, тогда как «во внешнем» пространстве остаются без изменения, в результате возникают реактивные силы, приталкивающие тела друг к другу. Количественные оценки таких сил приводят к обратно пропорциональной зависимости от квадрата расстояния между телами. Теория Станюковича не имеет отмеченных выше недостатков, присущих гипотезе Лесажа, однако и теория Станюковича, и гипотеза Лесажа имеют, на наш взгляд, еще один очень серьезный недостаток — они не могут объяснить независимость ускорения свободного падения от массы пробного тела по той простой причине, что само понятие пробного тела лишено смысла в этих теориях.
Предлагаемая нами интерпретация тяготения, сохраняя наглядность и «простоту» гипотезы Лесажа, не имеет её недостатков и объясняет практически всё (и даже больше, например, черные дыры) в рамках ньютоновской теории тяготения.
Гравитационная энергия. Расходуется ли гравитационная энергия при гравитационном взаимодействии? А если расходуется, то откуда берется и как пополняется?
Рассмотрим для примера систему Солнце–Земля. Каждое мгновение Солнце должно затратить определенную работу, чтобы удержать Землю на эллиптической орбите. Очевидно при этом энергия расходуется. (Если же интерпретировать движение Земли по орбите как движение по инерции в искривленном пространстве–времени, по Эйнштейну, то для поддержания кривизны пространства–времени Солнце все равно должно расходовать энергию, т.к. пространство заведомо обладает свойством «упругости». В противном случае можно представить ситуацию, когда «убрав» Солнце, кривизна остается.).
Сколько же энергии израсходовано
Солнцем для поддержания порядка в
солнечной системе за время её
существования? А электромагнитное
излучение Солнца, а солнечный ветер и т.д.?
Нетрудно подсчитать, что только
электромагнитное излучение эквивалентно
потере Солнцем в одну секунду массы
примерно
.
Конечно, это очень чуть по сравнению с
массой Солнца, но кто подсчитал полную
энергию, излучаемую Солнцем в мировое
пространство?
Не является ли источником энергии Солнца расширение его массы? Действительно, масса Солнца расширяется
![]()
откуда приращение массы равно
![]()
что дает в одну секунду
,
т.е. величину всего лишь в 850 раз больше
массы, теряемой Солнцем только за счет
электромагнитного излучения. Трудно
поверить, что такое «совпадение» является
случайным !
Разработка отмеченных выше идей, а и многих других в рамках «новых» специальной (кватерное пространство–время) и «специальной общей» (кватерное пространство–масса и кватерное пространство–радиус кривизны Вселенной) теории относительности мы называем программой «Расширение Вселенной Ю локальная физика».
Изложенные в статье идеи и результаты применения этих идей для построения физической картины мира являются далеко не полной выборкой из неопубликованной книги автора «Натуральная философия» (с намеком на ньютоновские «Начала»). Данную статью можно рассматривать как рекламную для тех, кто пожелал бы помочь автору в публикации книги и возможности продолжения работы по программе «Расширение Вселенной Ю локальная физика».
Сокращенный вариант этой статьи опубликован (октябрь 2000) в [7].
ЛИТЕРАТУРА
W.R.Hamilton
Л. Д. Ландау, Е. М. Лифшиц. Теория поля, «Наука», М., 1973.
Космология. Теория и наблюдения. «Мир». М., 1978
Проблемы физики: классика и современность. «Мир», М., 1983
См. и сайт автора http://Quater1.narod.ru, где приводятся полный текст книги автора "Натуральная философия", данная статья и другие статьи автора.
Версия для печати
Автор: В. М. Мясников
P.S. Материал защищён.
Дата публикации 19.01.2005гг
Created/Updated: 25.05.2018
|
