- Цветы и растения
- Аквариум и рыбы
- Для работы
- Для сайта
- Для обучения
- Почтовые индексы Украины
- Всяко-разно
- Электронные библиотеки
- Реестры Украины
- Старинные книги о пивоварении
- Словарь старославянских слов
- Все романы Пелевина
- 50 книг для детей
- Стругацкие, сочинения в 33 томах
- Записи Леонардо да Винчи
- Биология поведения человека
Главная Экономика Книги Політична економія - Оганян Г.А. |
Політична економія - Оганян Г.А.
Поняття процента
Процент або ставка (норма) процента є вихідною категорією позичкового капіталу. Його визначають як ціну за використаний ресурс (грошовий капітал); плату за користування наданою вартістю або корисністю позичкового капіталу. Остання означає здатність позичкового капіталу приносити прибуток у разі продуктивного його використання.
У сучасній економіці рівень процентних ставок впливає на рішення суб'єктів господарської діяльності щодо заощаджень та інвестицій. У практичній діяльності для оцінки дохідності позичкового капіталу використовують показник норми процента, що обчислюється як відношення суми річного доходу, одержаного на позичений капітал, до суми наданого кредиту, помножене на сто. Наприклад, якщо позика становила 1 млн гр. од., а річний дохід з неї — 130 тис. гр. од., то норма процента дорівнюватиме 13. Норму позичкового процента, обчислену за певний період часу, називають середньою нормою процента.
На норму процента впливають зовнішні і внутрішні фактори. До зовнішніх належать стан кредитного ринку (попит і пропозиція ресурсів); масштаби виробництва та його циклічні сезонні коливання; розміри грошових нагромаджень і заощаджень; державне регулювання процентних ставок; темпи інфляції; державна заборгованість та ін. До внутрішніх — ступінь ризику за вкладеними коштами залежно від платоспроможності клієнта, виду, строків, розміру кредиту та ін.
В економіці існує чимало видів процентних ставок, що відповідає різноманітним умовам використання позичкового капіталу. Наприклад, базова процентна ставка застосовується для першокласних позичальників коштів, до неї прив'язуються всі інші ставки, що використовуються у разі надання позик іншим суб'єктам підприємницької діяльності.
Під впливом зміни ринкової кон'юнктури змінюється і вартість грошей, що надаються в позику. Оцінка вартості грошей триває у часі. При цьому використовуються поняття нинішньої (поточної) та майбутньої їх вартості. Різні підходи передбачають використання різних видів процентів. Розрізняють прості і складні проценти.
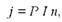
Простим називається процент, що нараховується на початковий вклад наприкінці одного банківського строку, він визначається за формулою
де Р — величина вкладу; I — норма процента; п — кількість строків нарощування.
Складний процент — це сума, яка утворюється в результаті процентного нарощування на весь строк кредиту. У разі обчислення складного процента сума доходу не виплачується, а приєднується до вкладу, сама приносить дохід.
Складний процент визначається за формулою
де Р — величина вкладу; (1 + і) — множник нарощування; п — кількість строків нарощування.
Процентні ставки за кредит можуть бути твердими (фіксованими) і змінними (плаваючими), номінальними і реальними (з урахуванням середньорічних темпів інфляції). Залежно від їх використання розрізняють також облікову, позичкову (кредитну) і депозитну процентні ставки.
Акумуляція тимчасово вільних коштів і перетворення їх на позичковий капітал здійснюється через кредитно-фінансові інститути, які в сукупності належать до інфраструктури ринку позичкового капіталу. Центральне місце на ньому посідає банк.
Банк і банківська система
Банківську діяльність розглядають як специфічний вид підприємницької діяльності, пов'язаний з обслуговуванням руху товарних, грошових та інших фінансових потоків. Історія банківської справи, як і історія грошей, досить тривала. Перші установи такого роду з'явились у Вавилоні, Стародавній Греції, Римі, коли основною формою грошей були золоті та срібні монети. Після падіння Римської імперії банківська справа почала занепадати і подальший її розвиток пов'язаний з Італією (від італ. Bапко — лава, конторка, де міняли гроші). Еволюція банківської справи відображає зміни зв'язку грошової системи з її металевим вмістом, напрям розвитку функцій грошей, а також їх форм і видів.
У сучасному розумінні банк — це кредитно-фінансова установа, основне призначення якої надавати кредити одним суб'єктам економічної діяльності за рахунок залучення тимчасово вільних коштів у інших. Банк — юридична особа, цілком незалежна від виконавчих і розпорядчих органів державної влади в рішеннях, пов'язаних із своєю оперативною діяльністю. На території України діяльність банків регламентована Законом України "Про банки та банківську діяльність", ухваленим 20 березня 1991 р.
Більшість країн ринкової економіки, постсоціалістичні країни, включаючи Україну, мають дворівневу банківську систему. До першого рівня належить центральний (емісійний) банк або в окремих країнах єдина резервна система. Так, на території США є 12 фінансово-кредитних округів, у кожному з яких розміщено філію центрального банку. США мають Федеральну резервну систему, якою керує рада управляючих, призначених президентом США. В Україні перший рівень банківської системи представлений Національним банком України (НБУ).
Created/Updated: 25.05.2018
|
Экономика