- Цветы и растения
- Аквариум и рыбы
- Для работы
- Для сайта
- Для обучения
- Почтовые индексы Украины
- Всяко-разно
- Электронные библиотеки
- Реестры Украины
- Старинные книги о пивоварении
- Словарь старославянских слов
- Все романы Пелевина
- 50 книг для детей
- Стругацкие, сочинения в 33 томах
- Записи Леонардо да Винчи
- Биология поведения человека
Главная Финансы Книги Гроші та кредит - Пахомов В. І. |
Гроші та кредит - Пахомов В. І.
Тема 2. Історія розвитку та сучасний стан теорії грошей
Вивчаючи тему, необхідно зрозуміти, що розвиток теорії грошей відбувався як процес формування наукових шкіл, течій та теорій.
Античний період. Перші спроби осмислити роль та суть грошей (Платон, Аристотель та ін.).
Класичний період. Це період, коли формуються металева, номіналістична і кількісна теорії грошей, визначаються функції грошей та їх роль в економіці. До цього періоду належать праці А. Сміта, Д. Рікардо, К. Маркса та ін.
Період кінця XIX — початку XX ст. Розвиток кількісної теорії Фі-шером; теорія "касових залишків" Кембриджської школи; розробка теорії "марженалізму" і спроба об'єднати її з теорією грошей (теорія граничної корисності Вальраса, Менгера і Джевонса).
Кейнсіанський період. Роботи Д. Кейнса.
Післявоєнний період. Виникнення монетаризму, теорії раціональних очікувань, неокейнсіанства.
Вивчення розвитку теорії грошей доцільно провадити шляхом ознайомлення з її дискусійними питаннями.
1. Погляди на джерело вартості паперових грошей.
2. Чинники, що визначають цінність грошей.
3. Місце і роль грошей в економіці.
4. Доцільність здійснення грошово-кредитної політики.
Суть питання про джерело вартості паперових грошей полягає в тому, що за теорією "трудової вартості" вартість може вимірюватися лише таким товаром, що сам має вартість. І якщо паперові гроші не мають власної вартості, то як вони здійснюють функцію міри вартості?
При вивченні цього питання слід ознайомитись з положеннями металевої та номіналістичної теорій, теорії "представницької вартості паперових грошей", поглядами марженалістів та академіка А. Чухно.
Під чинниками, що визначають цінність грошей, розуміється їхня купівельна спроможність.
У ХІХ — на початку ХХ ст. у цьому питанні конкурували дві теорії:
• "кількісна", розроблена Д. Рікардо;
• "товарна", розроблена Туком. Власну теорію з цього питання мав український вчений М. Туган-
Барановський.
При вивченні ролі грошей в економіці необхідно ознайомитись з концепцією "нейтральності грошей", що існувала у класичній політекономії, та поглядами Д. Кейнса.
Наслідком робіт Д. Кейнса було те, що у практику управління економікою відповідними державними установами було запроваджено розробку та здійснення грошово-кредитної політики. Як наслідок у другій половині ХХ ст. в теорії грошей розгорнулася дискусія про доцільність здійснення грошово-кредитної політики. Дискусія точилася між послідовниками Д. Кейнса, представниками монетаризму та теорії раціональних очікувань. Тому потрібно ознайомитись з основними положеннями кейнсіанства, монетаризму та теорії раціональних очікувань.
При ознайомленні з монетаризмом необхідно визначити його зв'язок з кількісною теорією грошей. Монетаризм є сучасним її продовженням і розвитком. Він поділяє її положення про можливість ринкового саморегулювання і стверджує: гроші мають значення і впливають на номінальний обсяг національного доходу, зростання цін, зайнятість населення, ринкову кон'юнктуру. За монетаризмом центральні банки можуть контролювати кількість грошей в обігу, а грошово-кредитна політика має одну мету — стабільність зміни грошової маси.
Література: 10; 23; 26; 27; 28; 36; 42; 46; 52.
Основні поняття теми
Металева теорія; номіналістична теорія; теорія представницької вартості паперових грошей кількісна теорія; товарна теорія; кейнсіанство; монетаризм; теорія раціональних очікувань.
Запитання та тести для самоконтролю
1. Теорія раціональних очікувань стверджує, що:
а) грошово-кредитну політику слід провадити;
б) грошово-кредитна політика може досягти успіху;
в) внаслідок певних очікувань людей заходи грошово-кредитної політики не дають результату;
г) усі твердження не вірні.
2. Кейнс стверджував, що:
а) ринкова економіка стабільна і не має потреби втручання держави;
б) ринкова економіка нестабільна і держава повинна впливати на неї засобами грошово-кредитної політики;
в) грошово-кредитна політика є основним засобом впливу держави на економіку;
г) усі відповіді не вірні.
3. Основне правило монетаризму полягає в тому, що:
а) кількість грошей має зростати відповідно до цін;
б) кількість грошей має зростати відповідно до кількості товарів;
в) кількість грошей має зростати рівномірно і незалежно від кон'юнктури ринку;
г) усі відповіді не вірні.
4. Кількісна теорія грошей твердить, що:
а) чим більше грошей, тим краще;
б) грошей не повинно бути багато;
в) кількість грошей впливає на рівень цін;
г) кількість грошей є фактором впливу на розвиток економіки.
5. Металева теорія грошей стверджує, що:
а) паперові гроші є грошами завдяки золоту;
б) паперові гроші мають цінність завдяки обміну на золото;
в) лише металеві гроші є справжніми грошима;
г) усі відповіді не вірні.
6. Номіналістична теорія стверджує, що:
а) паперові гроші — це законний засіб платежу;
б) паперові гроші — це гроші, оскільки виконують функції грошей;
в) паперові гроші — це штучна соціальна конструкція;
г) паперові гроші — це прийнятий засіб обміну.
7. На які періоди поділяється розвиток теорії грошей?
8. Які теорії розглядали питання про джерело вартості паперових грошей?
9. Які існують теоретичні погляди на фактори, що визначають цінність грошей?
10. Як відбувалася еволюція поглядів на роль грошей в економіці?
11. У чому полягає класична концепція "нейтральності грошей"?
12. У чому розбіжність між кейнсіанством та монетаризмом з питання про доцільність здійснення грошово-кредитної політики?
13. Що стверджує теорія раціональних сподівань про доцільність здійснення грошово-кредитної політики?
14. У чому розбіжність механізму дії грошово-кредитної політики за кейнсіанством та монетаризмом?
15. У чому полягає критика монетаристами поглядів кейнсіанців щодо здійснення грошово-кредитної політики?Тема 3. Грошовий обіг і грошові потоки
Грошовий обіг — це безперервний рух грошей, які обслуговують процес економічного відтворення та зв'язки із зовнішнім світом за певний період часу.
Необхідно розглянути структуру грошового обігу. Залежно від форми грошей, які обслуговують грошовий обіг, він поділяється на готівковий і безготівковий. За економічним змістом грошовий обіг складається з таких секторів: грошово-розрахункового, грошово-кредитного та грошово-фінансового. Необхідно розкрити суть кожної із складових грошового обігу.
Треба усвідомити, які ринки та суб'єкти беруть участь у грошовому обігу, якими грошовими потоками вони пов'язані. Грошовий потік — це сукупність платежів, які обслуговують певні етапи суспільного відтворення.
Особливу увагу слід звернути на те, що грошовий обіг повинен бути збалансованим. Для цього необхідно, щоб були збалансовані вхідні і вихідні потоки кожного сектора грошового обігу. Серед грошових обігів виділяють потоки втрат і потоки ін'єкцій. До потоків втрат належать чисті податки, заощадження сімейних господарств, оплата імпорту. До потоків ін'єкцій — інвестиції, державні закупівлі та надходження за експортом. Збалансування потоків втрат і ін'єкцій відбувається через механізм грошового ринку шляхом трансформації заощаджень сімейних господарств у нові грошові потоки та шляхом припливу грошей зі світового ринку чи відпливу їх на світовий ринок залежно від попиту і пропозиції грошей.
Особливої уваги вимагають заходи, які необхідно проводити в умовах чистого імпорту та чистого експорту, тобто коли потоки імпорту та експорту незбалансовані. В умовах чистого імпорту (імпорт переважає над експортом) грошової маси недостатньо для реалізації створеного національного продукту. Поповнення грошової маси відбувається двома способами:
1) додатковою емісією;
2) залученням грошей зі світового ринку.
Кожен з цих способів має свої переваги та недоліки.
В умовах чистого експорту в обігу перебуває грошей більше, ніж необхідно для реалізації створеного національного продукту. Виникає загроза зростання цін. В цьому разі слід вилучити кошти з грошового ринку шляхом спрямування їх частини на світовий ринок та шляхом уповільнення руху грошей.
Необхідно усвідомити закон грошового обігу, який полягає в тому, що в обігу протягом певного періоду має бути лише певна, об'єктивно зумовлена маса грошей.
Фактична маса грошей має дорівнювати об'єктивно необхідній (Мф = Мн). Якщо Мф > Мн, то в обігу буде більше грошей, ніж необхідно для реалізації створеного національного продукту. Якщо фактична маса грошей менша за необхідну, то в обігу грошей недостатньо.
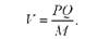
Кількість грошей, необхідних для обігу, визначається за формулою

де Р — середній рівень цін на товари і послуги;
Q— обсяг товарів та послуг у натуральному вираженні;
М — маса грошей в обігу за певний період;
V — швидкість обігу грошової одиниці.
Якщо врахувати фактори, що впливають на масу грошей, то величина Мн визначатиметься формулою:
де EКВ — кошти за товари і послуги, продані в кредит;
EКП — сума платежів, строк сплати яких настав;
EВЗ — кошти за товари та послуги, які реалізовані шляхом взаємного зарахування боргів.
Досягнення рівності між фактичною та необхідною величинами грошової маси є важливим питанням державного регулювання економіки, і досягається воно шляхом проведення грошово-кредитної політики.
Важливим питанням теми є швидкість обігу грошей, тобто частота, з якою кожна грошова одиниця переходить від одного економічного суб'єкта до іншого у процесі реалізації товарів та послуг за певний період часу. Швидкість обігу грошей визначається за рівнянням І. Фішера
На швидкість обігу грошей впливають чинники, що діють з боку платоспроможного попиту, і ті, що діють з боку товарної пропозиції.
Зміна швидкості обігу грошей впливає на пропозицію грошей, збільшуючи чи зменшуючи її. Необхідно розглянути позитивні та негативні наслідки прискорення та уповільнення обігу грошей, усвідомити сутність попиту на гроші. Попит на гроші — це бажання економічних суб'єктів мати у своєму розпорядженні певну суму грошей на певний період часу.
При вивченні цього питання слід звернути увагу на чинники, що впливають на грошові потоки, мотиви, які спонукають економічних суб'єктів до збереження грошей. За Д. Кейнсом, виокремлюють три мотиви попиту на гроші: трансакційний, завбачливості та спекулятивний. У зв'язку з цим попит на гроші поділяють на дві складові: поточну касу та спекулятивний попит.
До чинників впливу на грошовий попит належать: зміна обсягів національного продукту, зміна рівня цін, зміна швидкості обігу грошей, зміна норми процента, інфляційні очікування.
Існує розбіжність у поглядах вчених на чинникі, що впливають на грошовий попит. І тому необхідно розібрати і порівняти моделі попиту на гроші К. Маркса, І. Фішера, Кембриджської школи, Д. Кейн-са, М. Фрідмена, Боумоля — Тобіна, Міллера — Орра.
При вивченні цієї теми важливо усвідомити механізм поповнення маси грошей в обігу. Збільшення грошової маси здійснюється банківською системою шляхом емісії та шляхом дії банківського та грошового мультиплікатора. При цьому Національний банк здійснює готівкову та безготівкову емісії, а комерційні банки створюють лише безготівкові кошти.
Необхідно розкрити сутність понять "готівкова емісія", "безготівкова емісія". Створення грошей комерційними банками відбувається в результаті дії банківського (грошово-кредитного) мультиплікатора. Останній являє собою процес зростання обсягу банківських депозитів при наданні кредитів суб'єктам господарювання в наслідок руху грошей з банку в банк.
Потрібно з'ясувати механізм дії грошово-кредитної мультиплікації, з'ясувати фактори, що впливають на неї.
Зверніть увагу на коефіцієнт мультиплікатора. Він визначається за формулою
де НR — норма обов'язкового резервування.
Використовуючи грошово-кредитний мультиплікатор, можна визначити приріст грошей на банківських рахунках внаслідок дії грошово-кредитної мультиплікації за формулою
де DR — додатковий вклад, що надійшов до банку ззовні.
Крім з'ясування дії банківського мультиплікатора, слід з'ясувати дію грошового мультиплікатора, який є коефіцієнтом збільшення грошових агрегатів при збільшенні грошової бази.
Студент повинен оволодіти моделлю пропозиції грошей:
де М1 — обсяг грошового агрегату М1;
Мв — грошова база;
т — грошовий мультиплікатор.
У свою чергу:
де С — готівка;
R — банківські резерви
де СR — коефіцієнт депонування;
HR— норма обов'язкових банківських резервів (встановлюється центральним банком країни);
ЕR — норма надлишкових банківських резервів.
Центральний банк може впливати на розмір грошового агрегату М1, змінюючи розмір грошової бази та норму обов'язкових банківських резервів.
Слід зазначити, що процес грошово-кредитної мультиплікації значно впливає на пропозицію грошей, що може призвести до порушення рівноваги на грошовому ринку. Тому важливим у грошово-кредитній політиці є своєчасне виявлення тенденції зміни рівня мультиплікації, щоб своєчасно застосувати необхідні заходи.
Література: 12; 23; 26; 30; 31; 36; 42; 46.
Основні поняття теми
Ерошовий обіг; грошові потоки; потоки витрат; потоки ін'єкцій; балансування потоків; рівновеликі потоки; суб'єкти грошового обігу; ринки грошового обігу; вхідні потоки; вихідні потоки; чистий імпорт; чистий експорт; приплив капіталу; відплив капіталу; структура грошового обігу; фактична маса грошей; необхідна маса грошей; швидкість обігу грошей; попит на гроші; мотиви нагромадження грошей; поточна каса; кембриджський коефіцієнт; коефіцієнт Маршалла; коефіцієнт монетизації економіки; норма обов'язкового резервування; грошово-кредитний мультиплікатор.
Запитання та тести для самоконтролю
1. Розкрийте суть грошового обігу.
2. Визначіть поняття "грошові потоки".
3. Назвіть основні ринки та сектори грошового обігу.
4. Зобразіть схему грошового обігу.
5. Які два потоки рівновеликі й балансуються між собою?
6. Назвіть вхідні і вихідні потоки окремих секторів грошового обігу.
7. Які потоки належать до потоків втрат, а які — до потоків ін'єкцій?
8. Як співвідносяться потоки втрат і потоки ін'єкцій?
9. Поясніть суть чистого імпорту і чистого експорту.
10. Які заходи необхідно здійснювати в умовах чистого експорту і в умовах чистого імпорту?
11. Які кошти слугують джерелом надходження коштів на грошовий ринок?
12. Поясніть структуру грошового обігу за економічним змістом.
13. На які складові поділяється грошовий обіг залежно від форми грошей?
14. Поясніть механізм балансування грошових потоків.
15. Розкрийте суть закону кількості грошей, необхідних для обігу.
16. Як визначається швидкість обігу грошей?
17. Які фактори впливають на швидкість обігу грошей?
18. Як впливає на економічні процеси зміна швидкості обігу грошей?
19. У чому полягає сутність попиту на гроші?
20. Поясніть моделі попиту на гроші К. Маркса, І. Фішера, Кембриджської школи та Д. Кейнса.
21. В якій формулі використовується кембриджський коефіцієнт?
22. Де використовується коефіцієнт Маршалла і як він розраховується?
23. Які мотиви нагромадження грошей запропонували представники Кембриджської школи?
24. Напишіть формулу сукупного попиту на гроші за Д. Кейнсом.
25. Покажіть модель попиту на гроші М. Фрідмана.
26. Схарактеризуйте моделі попиту на гроші Боумоля — Тобіна та Міллера — Орра.
27. Розкрийте суть процесу грошово-кредитної мультиплікації.
28. Як розраховується грошовий мультиплікатор?
29. Розкрийте економічний зміст грошово-кредитного мультиплікатора.
30. Які фактори впливають на процес мультиплікації?
31. Чому при банківських позиках виникає процес грошово-кредитної мультиплікації?
32. Як впливає величина норми обов'язкового резервування на грошово-кредитну мультиплікацію?
33. Як змінюється грошова маса за агрегатом М3, коли банки:
а) збільшують позики юридичним особам?
б) збільшують позики населенню?
в) збільшують свої вклади в Національному банку?
г) вилучають частину вкладів з НБУ?
ґ) залучають готівкові кошти на вклади населення?
34. До банку внесено готівкою на депозит 30000 грн. Норма обов'язкового резервування становить 25 %. На яку величину може збільшити масу грошей в обігу цей депозит?
35. Розрахуйте величину грошово-кредитного мультиплікатора, якщо норма обов'язкового резервування становить 80 %.
36. Розкрийте суть механізму поповнення маси грошей в обігу.
37. До чого призведе перевищення фактичної маси грошей в обігу над необхідною (Мф > Мн)?
38. Яка кількість грошей необхідна для обслуговування обміну за рік, якщо швидкість обігу грошей становить 7 обертів на рік.
Created/Updated: 25.05.2018
|
Финансы 









